UNCG PDE ConFerence 2025
3rd UNCG Virtual PDE Conference
October 10th – 12th, 2025


The primary objective of this conference series is to provide a forum for researchers from academia, industry, and laboratories world-wide to share results on all aspects of recent advances in partial differential equations.
The overall goal of this conference series is to promote research in mathematical and computational analysis of differential equations. As a new feature in this conference series, we welcome undergraduate students doing research in differential equations to present their work.
The conference is dedicated to Professor Alfonso Castro in celebration of his 75th birthday and his outstanding contributions to Differential Equations.
plenary speakers for the 3rd Virtual UNCG PDE Conference of 2025
Click on their picture to see their website.
Peter Bates, Michigan State University
Peter W. Bates maintains an active research program despite having retired as a Professor of Mathematics at Michigan State University. He earned his Ph.D. from the University of Utah in 1976. Throughout his distinguished career, Bates has made significant contributions to a wide range of mathematical fields, establishing himself as a leading authority in areas such as Infinite Dimensional and Random Dynamical Systems, Nonlinear Analysis, Nonlinear Ordinary and Partial Differential Equations, Nonlocal Diffusion Equations, Singular Perturbations, Mathematical Biology, and Phase Transitions. Bates is a Fellow of the American Mathematical Society and has been a prominent figure in the mathematical community. He has served on the editorial boards of prestigious journals, including Memoirs and Transactions of the American Mathematical Society. His leadership extends beyond research, with Bates holding pivotal roles such as Chair of the Department of Mathematics at both Michigan State University and Brigham Young University. He also served as the Program Director of Applied Mathematics at the National Science Foundation, further cementing his significant impact on the advancement of the field.
Jorge Cossio, National University of Colombia
.
Jorge Cossio is a Professor Emeritus at the Universidad Nacional de Colombia. He has made contributions to Partial Differential Equations and Nonlinear Analysis. His work has been widely recognized with numerous accolades. In 2009, he was awarded the National Mathematics Prize by the Colombian Mathematical Society. He is also a member of the Colombian Academy of Exact, Physical, and Natural Sciences and has been honored as an Emeritus Researcher by the Ministry of Science and Technology of Colombia.
.
.
.
Pavel Drábek, University of West Bohemia
.
Pavel Drábek graduated from Faculty of Mathematics and Physics, Charles University, Prague in 1977 and obtained a Candidate of Sciences (equiv. Ph.D.) and Doctor of Sciences (DrSc.) from Czechoslovak Academy of Sciences Prague in 1981 and 1990, respectively. Soon after his graduation, he became a faculty member of the department of mathematics at the University of West Bohemia. Throughout his career he significantly contributed (and is still actively contributing) to development of nonlinear functional analysis, nonlinear differential equations, bifurcation theory, critical point theory. For his outstanding achievements in science, he obtained several national awards such as The Bernard Bolzano Honorary Medal “For Merits in the Mathematical Sciences” in 2013, awarded by the Academy of Sciences of the Czech Republic. He is also a Fellow of the Learned Society of the Czech Republic.
.
Lisa Fauci, Tulane University
.
Lisa Fauci received her PhD from the Courant Institute of Mathematical Sciences at New York University, and directly after that joined the Department of Mathematics at Tulane University in New Orleans, where she is currently the Pendergraft Nola Lee Haynes Professor. Her research focuses on biological fluid dynamics, with an emphasis on using modeling and simulation to study the basic biophysics of organismal locomotion and reproductive mechanics. Lisa served as president of the Society for Industrial and Applied Mathematics (SIAM) in 2019-2020. She is a fellow of the SIAM, the American Physical Society, the American Association for the Advancement of Science, the American Mathematical Society, and the Association for Women in Mathematics. In 2023, she was elected to the US National Academy of Sciences.
.
.
Jean-Luc Guermond, Texas A&M
.
Jean-Luc Guermond is a professor in and Exxon Mobil Chair in Computational Science of the Department of Mathematics at Texas A&M. He earned his Ph.D. in Theoretical Mechanics at The University of Paris VI in 1985. Guermond’s impactful research in numerical analysis for differential equations focuses on finite element and discontinuous Galerkin methods, computational fluid dynamics, multi-scale approximation, radiative transport, conservation equations, hyperbolic systems, and magnetohydrodynamics. His research has been funded by the Air Force Office of Scientific Research, Army Research Office, Department of Energy, and the National Science Foundation. Guermond is a fellow of the Society for Industrial and Applied Mathematics and the American Mathematical Society.
.
.
Randy LeVeque, University of Washington
.
Randall LeVeque is a Professor Emeritus of Applied Mathematics at the University of Washington. He earned his Ph.D. in Computer Science from Stanford University in 1982. LeVeque has also held appointments at the Courant Institute, UCLA, and ETH-Zürich. Throughout his distinguished career, LeVeque has made significant research contributions in numerical analysis, computational fluid dynamics, nonlinear partial differential equations, the mathematical theory of conservation laws, and software development with applications in astrophysics, geophysics, and biophysics. LeVeque is a fellow of the Society for Industrial and Applied Mathematics and the American Mathematical Society while also being a member of the National Academy of Sciences.
.
.
Jean Mawhin, Catholic University of Louvain
.
Jean Mawhin obtained his PhD in Science at the University of Li`ege (Belgium) in 1969. Presently Emeritus professor of the Catholic University of Louvain. He was the advisor of 15 PhD students, authored or co-authored more than 450 papers and 12 books on nonlinear differential equations, nonlinear analysis, critical point theory, real analysis and history of mathematics. He was elected in 1986 as a Fellow of the Royal Academy of Belgium (President in 2002) and is a foreign member of several academies. He has been president of the Belgian National Committee of Mathematics (1996-2000). He was awarded, among other ones, the Empain (1973), von Humboldt (1990), Pythagoras (2014), Aulbach (2015) and Bruckner (2022) Prizes, the Bolzano (2002) and Schauder (2013) Medals.
Professor Mawhin will give a special lecture on Professor Alfonso Castro’s contributions.
.
Bernhard Ruf, University of Milan
.
Bernhard Ruf is a full professor at the University of Milan. He specializes in mathematical analysis, particularly in the areas of partial differential equations, nonlinear analysis and calculus of variations. He earned his Ph.D. from the University of Zurich in 1980, and held post-doc positions at the University of Wisconsin (Madison), New York University and University of Paris VI. After positions at the ETH (Zurich, Switzerland) and the University of Cologne (Germany) he joined the University of Milan in 1988. He was also a specially appointed professor at the University of Osaka (Japan) from 2016-2018. Ruf was founder and editor of the Milan Journal in Mathematics. He is a member of the Istituto Lombardo – Accademia delle Science e Lettere since 2004. Ruf was adviser to more than 30 Master’s students, and 10 PhD students. He published over 120 research papers with over 4000 citations.
.
.
L. Ridgway Scott, University of Chicago
.
Ridgway Scott is Professor Emeritus of Mathematics at the University of Chicago and a distinguished expert in finite element analysis. He earned his Ph.D. in Mathematics from the Massachusetts Institute of Technology in 1973. Dr. Scott has made significant contributions to the theoretical foundations of the finite element method, leading to advancements across a wide range of disciplines including biophysics, parallel computing, structural mechanics, fluid dynamics, nuclear engineering, and computational chemistry. He has served on the editorial boards of several respected journals, such as Mathematical Modeling and Numerical Analysis, SIAM Journal on Numerical Analysis, Mathematics of Computation, Houston Journal of Mathematics, SIAM Review, and Notices of the American Mathematical Society. Dr. Scott is a Fellow of both the American Mathematical Society and the Society for Industrial and Applied Mathematics.
Sturm Oscillation Theory for Nonlocal Equations
NAuthor : Peter Bates
Abstract : In 1836 Sturm published two papers in Liouville’s J. Math. Pures et Appl., giving his famous comparison and oscillation theorems. In its simplest form, Sturm’s comparison result is the following.
Theorem. Let q1(x) ≤ q2(x) be not identically equal on [a,b]. Let u be a nontrivial solution to u” + q1(x)u = 0 on [a,b], and let v be a solution to v” + q2(x)v = 0 on [a,b]. Suppose that u(a) = u(b) = 0. Then v has at least one zero in (a,b).
One may ask if there is a discrete version of this. There is, where the second derivative operator is replaced by the usual finite difference approximation, as has been observed by many people. Furthermore, it continues to hold for more general tri-diagonal operators. The second derivative operator may also be approximated by a discretization which includes next nearest neighbor interactions. Does the above theorem hold for such penta-diagonal operators? Answer: Not in general, as I will show with an example.
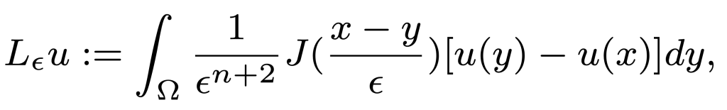
In another direction, being the main point of this presentation, one can replace the second derivative operator by a bounded integral operator, resulting in a nonlocal diffusion-like operator. Can one prove a similar comparison theorem? I will discuss the case where u′′ is replaced by

where J ≥ 0 is continuous, even, with compact support and J(0) > 0. More generally, I will examine the case when the nonlocal diffusion operator is replaced by a scaled version in R n, namely,

ε > 0 and small, and where Ω in R n is smoothly bounded, and J is radially symmetric. This operator converges, in some sense, to a multiple of the Laplacian, as ε → 0, and so the question arises as to whether or not a Sturm-like comparison theorem holds for this operator when ε is sufficiently small. This is joint work with Guangyu Zhao (UNLV).
Existence of Infinitely Many Radial Solutions for Quasilinear Elliptic Problems
Author : Jorge Cossio
Co-Authors : Alfonso Castro, Rosa Pardo, Sigifredo Herrón, and Carlos Vélez
Abstract : The talk will be concerned with the existence of infinitely many sign-changing radial solutions for quasilinear elliptic partial differential equations in a ball with the principal part given by the p-Laplacian operator and a nonlinearity that is super-linear at infinity. We consider quasilinear problems where the nonlinearity involves an indefinite weight function. For surfaces of revolution, we discuss the existence of infinitely many sign-changing rotationally symmetric solutions to a wide class of p-Laplace-Beltrami equations with polynomial-like nonlinearities.
We showcase the effectiveness of tools from the theory of ordinary differential equations, such as the shooting method, phase-plane and energy analysis, and the examination of initial value problems, in obtaining the existence of multiple radial solutions for quasilinear elliptic partial differential equations. We discuss these problems and present recent results.
Existence and Properties of Traveling Fronts for (q,r) – Relativistic Equations
Author : Pavel Drábek
Co-Authors : Maurizio Garrione and Michaela Zahradníková
Abstract : We introduce a new reaction-diffusion model governed by a (q,r)-relativistic type diffusion, extending the p-relativistic case and encompassing both singular and degenerate diffusivity. For monostable reactions, we establish existence of decreasing traveling fronts, exploiting the study of an equivalent first-order ODE with homogenous Dirichlet boundary conditions. We then analyze asymptotic properties of the fronts by means of comparison principles.
Explorations in Active Matter : Self-Avoidant Droplets and Colonies of Single-Point Swimmers
Author : Lisa Fauci
Co-Authors : Sang-Eun Lee, Hongfei Chen, Hoa Nguyen, Ricardo Cortez, and Christina Hamlet
Abstract : The collective behavior of discrete particles is mediated by the environment in which they are immersed, such as a chemical field or a surrounding incompressible fluid. The immersed boundary framework captures the interaction of Lagrangian particles with an underlying Eulerian description of the environment. Here we discuss this framework in the context of two models. First, motivated by autophoretic droplets that move in response to a self-produced chemical gradient, we examine the collective dynamics of individual motile particles using a reaction-diffusion system. The particles have an unlimited supply of a chemical, secrete it at a given rate, but are anti-chemotactic and move in the direction of maximal decrease of this chemical. In both one-and two-dimensional periodic domains, we find intriguing long-time behavior of the system. For certain values of a non-dimensional parameter that involves secretion rate, coupling coefficient, domain size and diffusion, we find that the particles either relax to regularly spaced arrays, approach these regular arrays with damped oscillation, or exhibit undamped, periodic trajectories. For high enough values of this parameter, the droplets exhibit ballistic motion and interact with the trails of the other droplets. Our second example is a model of a multicellular microbial colony, Choanoeca flexa. Individual cells form cup-like colonies that can turn inside-out so flagella line the cup’s interior or cover its outside surface. We present a reduced model that examines the hydrodynamic implications on swimming and feeding for these different states. We also present a minimal single-point model of a swimmer in an inertial regime, which is an extension of a force doublet model in a Stokesian fluid where inertia is absent.
An Overview of Structure Preserving Approximation of Nonlinear Conservation Equations
Author : Jean-Luc Guermond
Abstract : Realistic physical models of conservation equations are highly nonlinear systems of partial differential equations (PDE). Proving existence and uniqueness of solutions to these PDE systems is very often beyond reach, and in some cases the models are known to be ill-posed. In absence of a strong mathematical framework guaranteeing some form of compactness and well-posedness, one is lead to construct approximation techniques that (in addition to being consistent, of course) preserve key structures of the PDE system. For instance if the solution map to a problem is known to map pointwise data to a convex subset of ℝm, then a structure preserving approximation method would be one that ensures that the approximate solution map does the same. This concept is a multi-dimensional generalization of the maximum principle. Techniques satisfying this type of property are called invariant-domain preserving. It also often desirable to make sure that approximate solutions exactly solve a problem in some canonical situations. For instance, if a fluid flow is in hydrostatic equilibrium, one would like the approximate solution to satisfy this equilibrium as well. If the free surface of a lake is a rest, one would like the approximate model to deliver a solution that is also at rest. Approximation techniques that satisfy this type of property are said to be well-balanced. Many other forms of structures can be identified and preserved: involutions (think of Gauss laws of magnetism); asymptotic limits with respect to some model parameter; etc. In this talk I will give a brief overview of the state of the art on structure preserving approximation techniques for nonlinear conservation equations.
Dispersive Tsunami Modeling with Adaptive Mesh Refinement
Author : Randy LeVeque
Abstract : The open source GeoClaw software (distributed as part of Clawpack) implements the two-dimensional shallow water equations (SWE) over topography in a well-balanced manner, and is widely used for modeling tsunamis, storm surge, river flooding, and other natural hazards over large spatial extents. Adaptive mesh refinement (AMR) is heavily used in most applications, e.g. to efficiently track a tsunami across the ocean and then zoom in to meter-scale resolution in a coastal region of interest, where inundation is modeled by robust wetting-and-drying algorithms. For many applications the SWE are a good model, e.g. for large earthquake-generated tsunamis with a long wavelength relative to the ocean depth. For shorter wavelength phenomena (e.g. tsunamis generated by landslides or asteroid impacts), the SWE do not properly capture the dispersive nature of the waves. In recent joint work with Marsha Berger, a version of depth-averaged Boussinesq equations have been implemented in GeoClaw to better model such phenomena.
The primary difficulty is that the higher-order derivatives in this model require implicit solvers, which are more challenging to implement in an efficient and stable manner in the context of AMR than the explicit finite volume methods used for SWE. I will discuss these issues and show some computational results obtained as part of the NASA-funded Asteroid Threat Assessment Project.
Alfonso Castro : A Love Story with Nonlinear Analysis and Partial Differential Equations
Author : Jean Mawhin
Abstract : We describe, in an impressionist manner, the striking contributions of Alfonso Castro to nonlinear analysis, critical point theory, ordinary and partial differential equations from his PhD thesis under Alan C. Lazer’s direction to his most recent papers.
The emphasis is put on their blend of unity and diversity, and on his signif- icant role in promoting and encouraging mathematical collaboration.
Singular Solutions of Elliptic Equations in Two Dimensions
Author : Bernhard Ruf
Abstract : We investigate singular solutions of the semi-linear elliptic equation −∆u = f(u) in two dimensions, where f(u) exhibits exponential-type nonlinearities. By introducing a refined classification of nonlinearities based on their growth rate, singular solutions are constructed using a model nonlinearity and a transformation technique. The singular solutions are characterized by their blow-up behavior near the origin and are extended to solve the Dirichlet boundary value problem in punctured domains.
We show that these singular solutions on the punctured disk B \ {0} are also very weak (distributional) solutions on the whole disk B. Finally, we show that these solutions taken as initial data of an associated heat equation give rise to non-uniqueness.
Some PDE Problems Arising in Fluid Flow
Author : L. Ridgway Scott
Abstract : We describe some challenging PDE problems arising in different areas of fluid dynamics, some of which are completely open. One relates to the periodicity of the Karman vortex street. Another has to do with regularity and other restrictions on Tanner duality for non-Newtonian fluids. A third relates to regularity of transport equation solutions with inhomogeneous inflow conditions.
This conference is dedicated to Professor Alfonso Castro in celebration of his 75th birthday and his outstanding contributions to differential equations.

Alfonso Castro, PhD, McAlister Professor of Mathematics, specializes in differential equations and nonlinear functional analysis. Castro’s research areas include partial differential equations (including semilinear equations with discrete spectrum), variational methods, and inverse-function theorems. He views his mathematical career as an extension and continuation of his mentor and Ph.D. advisor, late Professor Alan C. Lazer.
Castro is a co-founder and managing editor of the Electronic Journal of Differential Equations, a pioneering journal in paperless publication that publishes in excess of 150 research papers per year, accessible free of charge via the Internet. He served the National Science Foundation as program director of Applied Mathematics and Classical Analysis. Castro has served in several positions for the American Mathematical Association, including chair of its Human Rights Committee.
Program for the Third UNCG Virtual PDE Conference
Click here to download the PDF of the Short Program with speakers assigned to the parallel sessions
Click here to download the PDF of the Long Program with speakers assigned to the parallel sessions
The timezone for this conference is Eastern Daylight Time, GMT: -4.
Click here to view the Zoom Instructions for this Conference
Friday, October 10th
9:45 – 10:00am Welcome Remarks from
- Alan Boyette, Provost and Executive Vice Chancellor, UNCG
- Sherine Obare, Vice Chancellor of Research and Engagement, UNCG
- Scott Richter, Head of the Department of Mathematics and Statistics, UNCG
10:00 – 10:15am History and UNCG Music Videos
10:15 – 10:30am Conference Dedication – Brief Presentation in honor of Alfonso Castro
10:20 – 11:20am (Special Presentation) Jean Mawhin – Alfonso Castro : A Love Story with Nonlinear Analysis and Partial Differential Equations
11:20 – 11:30am Break
11:30am – 12:30pm (First Plenary Lecture) Bernhard Ruf – Singular Solutions of Elliptic Equations in Two Dimensions
12:30 – 1:00pm Break
1:00 – 2:00pm Technical Support for Zoom Screen Sharing (optional)
2:00 – 3:40pm First Afternoon Parallel Sessions A1 – A6 (Undergraduate Talks Included in Session A1)
3:40 – 4:00pm Break
4:00 – 5:00pm (Second Plenary Lecture) Randy LeVeque – Dispersive Tsunami Modeling with Adaptive Mesh Refinement
5:00 – 6:00pm Second Afternoon Parallel Sessions B1 – B6
Saturday, October 11th
10:00 – 11:00am (Third Plenary Lecture) Pavel Drábek – Existence and Properties of Traveling Fronts for (q,r)-Relativistic Equations
11:00 – 11:10am Break
11:10am – 12:10pm Morning Parallel Sessions C1 – C6
12:10 – 1:00pm Break
1:00 – 2:00pm (Fourth Plenary Lecture) Ridgway Scott – Some PDE Problems Arising in Fluid Flow
2:00 – 2:10pm Break
2:10 – 3:10pm First Afternoon Parallel Sessions D1 – D6
3:10 – 3:20pm Break
3:20 – 4:20pm (Fifth Plenary Lecture) Lisa Fauci – Explorations in Active Matter : Self-Avoidant Droplets and Colonies of Single-Point Swimmers
4:20 – 4:30pm Special music : ‘Para el Maestro Alfonso’ Performed by
- Stephanie Villegas (Vocals)
- Mauricio Zapata Galvis (Piano)
- Isabella Becerra (Video)
4:30 – 5:00pm Meet and Greet with Alfonso Castro
5:00 – 5:10pm Break
5:10 – 6:10 Section Afternoon Parallel Sessions E1 – E6
Sunday, October 12th
10:00 – 11:00am (Sixth Plenary Lecture) Jean-Luc Guermond – An Overview of Structure Preserving Approximation of Nonlinear Conservation Equation
11:00 – 11:10am Break
11:10am – 12:10pm Morning Parallel Sessions F1 – F6
12:10 – 1:00pm Break
1:00 – 2:00pm (Seventh Plenary Lecture) Peter Bates – Sturm Oscillation Theory for Nonlocal Equations
2:00 – 2:10pm Break
2:10 – 3:10pm Afternoon Parallel Sessions G1 – G7
3:10 – 3:15pm Break
3:15 – 4:15pm (Eighth Plenary Lecture) Jorge Cossio – Existence of Infinitely Many Radial Solutions for Quasilinear Elliptic Problems
4:15 – 4:30pm Closing Remarks
4:30 – 5:00pm Chat with Alfonso Castro
Friday, October 10th
The timezone for this conference is Eastern Daylight Time, GMT: -4.
First Afternoon Parallel Sessions A1 – A6 (Undergraduate Talks Included in Session A1)
Session A1 — Chair: Emiliano Morales-Lopez
2:00 – 2:20p: Caroline Wyrick On the uniqueness of positive solutions for classes of two-point boundary value problems when a parameter is large
2:20 – 2:40p: Nyvisalsnuk Rith Stability and Bifurcation Analysis on Fishery Models with Strong Allee Effect and Holling’s Type III Functional Response
2:40 – 3:00p: Monishwar Vardireddy Analysis of the SEIR Model around the Singularities
3:00 – 3:20p: — —
3:20 – 3:40p: Emiliano Morales-Lopez Modeling the Transmission Dynamics of the Monkeypox Virus Infection with Intervention Measures
Session A2 — Chair: Mohammed Tewfik Ghomari
2:00 – 2:20p: Sherin Angus New exact closed form solution of Jeffery–Hamel flow using singularity structure analysis
2:20 – 2:40p: Junyuan Fang Lp theory for a class of parabolic equations with degenerate/singular coefficients
2:40 – 3:00p: Amlan Kanti Halder Newer Observations in Singularity Structures of Differential Equations
3:00 – 3:20p: Abdelbadie Younes Singular Elliptic Systems with Superlinear Gradient Growth
3:20 – 3:40p: Mohammed Ghomari Existence results for a Hardy p–Laplacian equation on compact Riemannian manifolds
Session A3 — Chair: Siham Boukarabila
2:00 – 2:20p: Prabal Acharya On the existence of solutions and continuous dependence on coefficients for the Newtonian fluid flow in a curved pipe with Darcy–Lapwood–Brinkman model
2:20 – 2:40p: Anupma Arora Existence of weak solutions for Kirchhoff type double phase problem with supercritical exponent
2:40 – 3:00p: Lovelesh Sharma On an eigenvalue problem associated with mixed operators under mixed boundary conditions
3:00 – 3:20p: Habib Fourti Non-existence of solutions for a slightly super-critical elliptic problem with non-power nonlinearity
3:20 – 3:40p: Siham Boukarabila On a Singular Gradient-Dependent Elliptic System
Session A4 — Chair: Vinayak Mani Tripathi
2:00 – 2:20p: Ambesh K. Pandey Existence of multiple solutions for a class of mixed local and nonlocal variable exponent problem
2:20 – 2:40p: Ashutosh Dixit Non-variational type critical growth nonlocal system
2:40 – 3:00p: Diksha Gupta Elliptic Problems Involving Mixed Local–Nonlocal Operator in the Hyperbolic Space
3:00 – 3:20p: Maria A. Onyido On the Spatial Spreading Dynamics of Species with Nonlocal Dispersal
3:20 – 3:40p: Vinayak M. Tripathi Multiplicity result for mixed local and nonlocal Kirchhoff problems involving critical growth
Session A5 — Chair: Saroja Lakshmi
2:00 – 2:20p: B. Sagar Numerical Simulation of Fractional Keller–Segel System Modeling Chemotaxis
2:20 – 2:40p: Akash K. Gartia Modeling and Vibration Analysis of Multi-Cracked Functionally Graded Nanobeams
2:40 – 3:00p: Saroja Lakshmi Mathematical Modelling of Coral Reef Dynamics with Mangroves
3:00 – 3:20p: Saroj Si Analysis of a size-structured growth–coagulation–fragmentation model
3:20 – 3:40p: — —
Session A6 — Chair: Kithmini Maddegoda
2:00 – 2:20p: — —
2:20 – 2:40p: Lander Basabe Isotropic recovery-based error estimator algorithm for mesh adaptation in a finite volume environment
2:40 – 3:00p: Kithmini Maddegoda Modeling the Impact of Environmental Variability on Plankton Systems
3:00 – 3:20p: Akhilesh Verma Finite–Approximate Controllability of Non-Autonomous Neutral Impulsive Evolution Equations with State-Dependent Delay
3:20 – 3:40p: Spencer H. Bryngelson Solving Navier–Stokes-like problems with discontinuous features via information geometric regularization
Second Afternoon Parallel Sessions B1 – B6
Session B1 — Chair: Ananta Acharya
5:00 – 5:20p: Wai Chan Quenching for Reaction–Diffusion Equations
5:20 – 5:40p: Atanu Manna Existence and multiplicity of non-radial solutions for a semilinear elliptic equation on hyperbolic space
5:40 – 6:00p: Ananta Acharya Analysis of a population when a second species influences its dynamics in the interior and on the boundary
Session B2 — Chair: Manki Cho
5:00 – 5:20p: Thuy Le The dimensional reduction method for solving a nonlinear inverse heat conduction problem with limited boundary data
5:20 – 5:40p: — —
5:40 – 6:00p: Manki Cho Efficient Numerical Solutions of Laplace Equations with Mixed Boundary Conditions Using Steklov Eigenfunctions
Session B3 — Chair: Brian Choi
5:00 – 5:20p: — —
5:20 – 5:40p: Mohammed N. Benamar On the stability of a class of positive fractional 2D Lyapunov systems described by the Roesser model
5:40 – 6:00p: Brian Choi Unique continuation of fractional dispersive equations
Session B4 — Chair: Ardra A
5:00 – 5:20p: Sigifredo Herrón Sub-Supersolution Techniques and Fixed-Point Methods for Schrödinger p-Laplacian Problems
5:20 – 5:40p: Lan-Phuc Tran Phase Shaping of the Nonlinear Schrödinger Equation
5:40 – 6:00p: Ardra A On the first eigenvalue of a nonlinear Schrödinger-type equation
Session B5 — Chair: Arturo Sanjuán
5:00 – 5:20p: Md. Abdus Saad Time-Dependent Diffusion and Soliton Dynamics in (2+1)D Chaffee–Infante Equation
5:20 – 5:40p: A. Sengouga Energy Bounds for a Vibrating String with Boundary Damping and Varying Length
5:40 – 6:00p: Arturo Sanjuán The Work of Alfonso Castro on the Semilinear Wave Equation: A Survey
Session B6 — Chair: Yi Zhang
5:00 – 5:20p: Kiran Kumar Saha Existence of Radially Symmetric k-Convex Solutions to k-Hessian Equations
5:20 – 5:40p: — —
Saturday, October 11th
The timezone for this conference is Eastern Daylight Time, GMT: -4.
Morning Parallel Sessions C1 – C6
Session C1 — Chair: Ky Ho
11:10 – 11:30am Ky Ho Double Phase Problems Involving Sandwich-Type Growth
11:30 – 11:50am Rupali Kumari Some results on nonlinear elliptic equations with dependence on the gradient
11:50 – 12:10pm Petr Girg Strongly Nonlinear Model of Groundwater Flow in a Porous Medium Layered over an Inclined Impermeable Bed
Session C2 — Chair: Rosa Pardo
11:10 – 11:30am Manika Bag Local controllability of the Cahn–Hilliard–Burgers’ equation around certain steady states
11:30 – 11:50am Axel G. R. Turnquist A Cutoff Method for Computing Optimal Transport to a Target Measure with Unbounded Support
11:50 – 12:10pm Rosa Pardo Elliptic Systems with Superlinear Terms on the Critical Hyperbola
Session C3 — Chair: Pamodya T. Thalawage
11:10 – 11:30am Shashank Pandey Almost Sectorial Operators in Integro-Differential Equations with State-Dependent Delay
11:30 – 11:50am Pamodya T. Thalawage An Optimal Control Approach for Time-Dependent Harvesting Strategies in Delayed Predator–Prey Dynamics
11:50 – 12:10pm Deeksha Tomer Domain Decomposition Methods for PDEs with Time Delay
Session C4 — Chair: Satyanarayana Engu
11:10 – 11:30am Rohit Kumar On fractional p-Laplace semipositone problems
11:30 – 11:50am Garima Gupta Approximate Controllability of Fractional-Order Neutral Integro-Differential Equations Using a Fractional Resolvent Operator
11:50 – 12:10pm Karthiga M A New Exact Form of Travelling Wave Solutions for the Fractional-Order Padé-II Equation
Session C5 — Chair: Mengxuan Yang
11:10 – 11:30am Anshika Singhal Self-Similar Behavior of Shock Waves in Generalized Chaplygin Gas
11:30 – 11:50am Aniruddha K. Sharma Shock-Wave Dynamics via Symmetry-Driven Analysis of a Two-Phase Flow with the Chaplygin Pressure Law
11:50 – 12:10pm Mengxuan Yang Resolvent and Wave Decay of the Multi-Pole Aharonov–Bohm Hamiltonian
Session C6 — Chair: Mohandas Pillai
11:10 – 11:30am Anežka Švandová Simulations of Groundwater Flow in Fractured Porous Media
11:30 – 11:50am Amar Ould-Hammouda Homogenization of a Stokes Flow in Porous Media under a Non-Homogeneous Slip Boundary Condition
11:50 – 12:10pm Mohandas Pillai Global Dynamics of Solitons Coupled to Radiation for Critical Wave Maps and Semilinear Wave Equations
First Afternoon Parallel Sessions D1 – D6
Session D1 — Chair: Tom Lewis
2:10 – 2:30pm Jan V. Rudzko Classical Solution of a Mixed Problem with the Discontinuous Robin Boundary Condition and Inhomogeneous Conjugation Conditions for a Semilinear Wave Equation
2:30 – 2:50pm Bo Zhang Global Attractivity in Nonlinear Wave Equations with Unbounded Damping
2:50 – 3:10pm Cong Van The inverse initial data problem for anisotropic Navier–Stokes equations via Legendre time reduction method
Session D2 — Chair: Darío A. Valdebenito
2:10 – 2:30pm Šárka Nečasová The primitive equations: rigorous derivation and Onsager conjecture
2:30 – 2:50pm Flavia Smarrazzo On Radon measure-valued solutions for a class of evolution equations with measure initial data
2:50 – 3:10pm Darío A. Valdebenito Quasiperiodic solutions of some elliptic systems of equations
Session D3 — Chair: Bo Yang
2:10 – 2:30pm Caterina Sportelli The superposition of operators of mixed fractional order
2:30 – 2:50pm Hardagna V. Vora Fractional Modeling of Calcium Interplay in Neuronal Cells: Normal vs. Alzheimer’s Conditions
2:50 – 3:10pm Bo Yang Positive Solutions for a Fourth Order p-Laplacian Boundary Value Problem
Session D4 — Chair: Nsoki Marvinga
2:10 – 2:30pm Carlos Culebro Multiple nodal solutions to a scalar field equation with double-power nonlinearity and zero mass at infinity
2:30 – 2:50pm Surbhi On a Fourth Order System Involving Critical Nonlinearities and Sign-Changing Weight Functions
2:50 – 3:10pm Nsoki Marvinga An interpolation approach to L∞ a priori estimates for elliptic problems with nonlinearity on the boundary
Session D5 — Chair: Satyajith Bommana Boyana
2:10 – 2:30pm Sonu Bose An Efficient Numerical Approximation to Solution and Diffusive Fluxes for a 2D System of Convection-Dominated Elliptic PDEs
2:30 – 2:50pm Li Zhu A New Finite Element Method for Simulating Wave Propagation on Complex Graphene Sheets
2:50 – 3:10pm Satyajith B. Boyana Discontinuous Galerkin Methods for Convection-Dominated Problems
Session D6 — Chair: Anusree R. Kannoth
2:10 – 2:30pm Briceyda B. Delgado Resonant solutions for elliptic systems with Neumann boundary conditions
2:30 – 2:50pm Gülistan Butakın Blow-up in Finite Time of Solutions to Triharmonic Parabolic-Type Equations in Variable Exponent
2:50 – 3:10pm Anusree R. Kannoth Spike layered solutions for elliptic systems on Riemannian Manifolds
Second Afternoon Parallel Sessions E1 – E6
Session E1 — Chair: Gleb Gribovskii
5:10 – 5:30pm — —
5:30 – 5:50pm — —
5:50 – 6:10pm Gleb Gribovskii Data-Driven Machine Learning Approaches to Modeling Pertussis Vaccine Scare Behavior
Session E2 — Chair: Mohammed El Aïdi
5:10 – 5:30pm Yi Hu Nonlinear Schrödinger Equation with Stark Effect and Damping
5:30 – 5:50pm Ameerraja Ansari Weighted Sobolev inequalities and superlinear elliptic problems on exterior domains in R²
5:50 – 6:10pm Mohammed El Aïdi On the Riesz-means of Negative Eigenvalues for a Compact Metric Tree
Session E3 — Chair: Melissa Cook
5:10 – 5:30pm Ala` Alalabi Well-posedness and Optimal Control in Poroelasticity
5:30 – 5:50pm Nalin Fonseka Effects of Predation-Induced Emigration on a Harvesting Model
5:50 – 6:10pm Melissa Cook Effects of harvesting-mediated emigration on a weak Allee growth model
Session E4 — Chair: Louiza Baymout
5:10 – 5:30pm Louiza Baymout 3D limit cycles for three-dimensional piecewise differential systems
5:30 – 5:50pm Mehsin Jabel Atteya Solutions to a System of Generalized Yang–Baxter Equation for the Null Space of a Matrix
5:50 – 6:10pm Ray Abney Objects Invisible from Multiple Directions
Session E5 — Chair: Elliott Hollifield
5:10 – 5:30pm Thinh Dang Semi-analytic spectral method for nonlocal Poisson problem with discontinuous data
5:30 – 5:50pm Yuhao Mu New Qualitative and Numerical Results for a Nonlinear Fluid–Structure Interaction Model
5:50 – 6:10pm Elliott Hollifield Numerical coexistence states of a parabolic system with local and nonlocal diffusion
Session E6 — Chair: Tuba Satilmis
5:10 – 5:30pm Hamed A. Bouraoui Stability analysis of Porous–Elastic System with Microtemperatures under Dual–Phase–Lag Theory
5:30 – 5:50pm Tuba Satilmis Initial Time Variations and Lipschitz Stability in Set–Valued Differential Systems
5:50 – 6:10pm Nhung Nguyen Fast and stable imaging of objects in 2D acoustic waveguides using scattering data
Sunday, October 12th
The timezone for this conference is Eastern Daylight Time, GMT: -4.
Morning Parallel Sessions F1 – F6
Session F1 — Chair: Gerard Awanou
11:10 – 11:30am Süleyman Cengizci A Hybrid Machine Learning Framework for Solving Convection-Dominated Steady-State Transport Problems
11:30 – 11:50am Gerard Awanou On uniqueness of weak solutions to the second boundary value problem for generated prescribed Jacobian equations
11:50 – 12:10pm Salima Azouz Composite Asymptotic Approximations for Anisotropic Singular Perturbed Problems
Session F2 — Chair: Xiaohuan Xue
11:10 – 11:30am General Ozochiawaeze Strengthened Analysis of Linear Sampling Method for Biharmonic Wave Scattering
11:30 – 11:50am José D. Beltrán Global existence and zero relaxation limit for a hyperbolic system arising in traffic flow with large data
11:50 – 12:10pm Xiaohuan Xue Convergent Finite Difference Methods with Higher Order Local Truncation Errors for Stationary Hamilton–Jacobi Equations
Session F3 — Chair: Ani Tumanyan
11:10 – 11:30am Akanksha Kesarwani Superlinear and Sublinear Dirichlet Problems with the (p(x), q(x))–Laplacian Operator
11:30 – 11:50am Said Taarabti Three Solutions to a Neumann Boundary Value Problem Driven by the p(x)-Biharmonic Operator
11:50 – 12:10pm Ani Tumanyan Fredholm and Spectral Properties of Regular Hypoelliptic Operators
Session F4 — Chair: Leandro Recôva
11:10 – 11:30am Víctor Vicente-Benítez Entire Solutions to a Quasilinear Purely Critical Competitive System
11:30 – 11:50am Leandro Recôva Multiplicity Results for Non-Local Operators of Elliptic Type
11:50 – 12:10pm Amit Kumar Acharya Dini–Schauder Estimate for a Class of Non-Local Elliptic Equations
Session F5 — Chair: Jesse Paul
11:10 – 11:30am Senoussi Guesmia Quantitative Convergence Rates in the Asymptotic Analysis of Parameter-Dependent Elliptic Problems
11:30 – 11:50am Phuong Nguyen Solving the Inverse Scattering Problem via Carleman-Based Contraction Mapping
11:50 – 12:10pm Jesse Paul A Vanishing Moment Narrow Stencil Method for Approximating Viscosity Solutions to Fully Nonlinear Monge–Ampère Equations
Session F6 — Chair: Byungjae Son
11:10 – 11:30am Abhishek Sarkar On (p, N)-Laplace Multivalued Equations with Critical Exponential Nonlinearity in ℝᴺ
11:30 – 11:50am Markjoe O. Uba Asymptotic Limits of the Principal Spectrum Point of a Cooperative System with Nonlocal Dispersal
11:50 – 12:10pm Byungjae Son On Positive Solutions to One-Dimensional Elliptic Boundary Value Problems with Nonlocal Boundary Conditions
First Afternoon Parallel Sessions G1 – G8
Session G1 — Chair: Emer Lopera
2:10 – 2:30pm Lingju Kong Weak Solutions for Quasilinear Biharmonic Systems
2:30 – 2:50pm Emer Lopera Positive Solutions for a Class of Quasilinear Problems with Indefinite Potential
2:50 – 3:10pm Taige Wang Multiplicity of Laplacian Eigenvalues Presented by Sum of Two Squares Using Number Theory
Session G2 — Chair: Vikram Naik
2:10 – 2:30pm Edgar A.A. Martínez Uniform Estimates for Elliptic Equations with Carathéodory Nonlinearities at the Interior and on the Boundary
2:30 – 2:50pm Lukáš Kotrla Parabolic Logistic Equation and System Involving Fractional Laplacian
2:50 – 3:10pm Vikram Naik Brezis–Nirenberg Type Problem for Fractional Sub-Laplacian on the Heisenberg Group
Session G3 — Chair: Prerona Dutta
2:10 – 2:30pm Satyanarayana Engu Large Time Asymptotics of the Solutions to the Generalized BBM–B Equation
2:30 – 2:50pm Apeksha Patil Exact Solutions of Oskolkov Equation through Symmetry Analysis and Their Integrals of Motion Using Conservation Laws
2:50 – 3:10pm Prerona Dutta Weak Diffeomorphisms for Conservation Laws
Session G4 — Chair: Diana Milena Sanchez
2:10 – 2:30pm Urvashi Joshi Solitonic and Exact Solutions for a Viscous Traffic Flow Model via Lie Symmetry
2:30 – 2:50pm Khoi Anh Vo Simultaneous Reconstruction of Birth Condition and Mortality Rate in an Age-Structured Tumor Model
2:50 – 3:10pm Diana Milena Sanchez Eigenvalue Problem Involving the (p, q)-Laplacian Operator
Session G5 — Chair: Suvendu Nayak
2:10 – 2:30pm Suvendu Nayak Operator-Theoretic Foundations of Legendre Wavelet Methods for Hyperbolic PDEs
2:30 – 2:50pm Marcelo V. Flamarion Dynamics of Abnormally Large Ocean Waves
2:50 – 3:10pm Jose Morales A Stochastic Collocation Method for the Boltzmann–Poisson System with Rough Boundaries and Uncertainties
Session G6 — Chair: Oscar Agudelo
2:10 – 2:30pm Subham Nayak Adaptive Nonconforming FEM for Distributed Optimal Control Problems Governed by m-Harmonic Equations
2:30 – 2:50pm Priya Kumari Singh A Collocation Method for Nonlinear Stochastic Differential Equations Driven by Fractional Brownian Motion and Its Application to Mathematical Finance
2:50 – 3:10pm Oscar Agudelo Fredholm Properties of the Jacobi Operator of Minimal Canonical Hypersurfaces
Session G7 — Chair: Shalmali Bandyopadhyay
2:10 – 2:30pm Vladan Čížek Propagation Speed for Strongly Nonlinear Parabolic Problems
2:30 – 2:50pm Prashant K. Pandey Sturm’s Theorems and Sturm–Liouville Problems in Terms of the Generalized Derivatives
2:50 – 3:10pm Shalmali Bandyopadhyay Bifurcation Curves for Elliptic Problems with Nonlinear Boundary Reactions: A Finite Difference Approach
Session G8 — Chair: TBA
2:10 – 2:30pm Archi Tiwari Integrability of Heston Financial Model
2:30 – 2:50pm Evangelos Nastas Hölder Regularity for Weak Solutions to a Class of Degenerate Elliptic Equations
2:50 – 3:10pm Said Baghdad Existence Results for Implicit Partial Fractional Differential Equations with Initial Conditions
All approved abstracts are posted on this page. Click on each title to view a PDF of the abstract.
Last Updated : October 10th – Please contact Matthew Farmer at cmfarmer@uncg.edu with any questions, comments, or concerns.
General Abstracts
Ardra A One the first eigenvalue of a nonlinear Schrödinger type equation
Ananta Acharya Analysis of a population when a second species influences its dynamics in the interior and on the boundary
Amit Kumar Acharya Dini-Schuader estimate for a class of Non-local elliptic equations
Ray Abney Objects Invisible from Multiple Directions
Oscar Agudelo Fredholm properties of the Jacobi operator of minimal canonical hypersurafaces
Ala’ Alalabi Well-posedness and Optimal Control in Poroelasticity
Sherin Angus New exact closed form solution of Jeffery-Hamel flow using singularity structure analysis
Ameerraja Ansari Weighted Sobolev inequalities and superlinear ellipticproblems on exterior domains in R2
Anupma Arora Existence of weak solutions for Kirchhoff type double phase problem with supercritical exponent
Mehsin Jabel Atteya Solutions to a System of Generalized Yang-Baxter Equation for the Null Space of a Matrix
Gerard Awanou On uniqueness of weak solutions to the second boundary value problem for generated prescribed Jacobian equations
Salima Azouz Composite Asymptotic Approximations for Anisotropic Singular Perturbed Problems
Manika Bag Local controllability of the Cahn-Hilliard-Burgers’ equation around certain steady states
Said Baghdad Existence results for implicit partial fractional differential equations with initial conditions
Shalmali Bandyopadhyay Bifurcation Curves for Elliptic Problems with Nonlinear Boundary Reactions: A Finite Difference Approach
Louiza Baymout 3D limit cycles for three dimensional piecewise differential systems
José David Beltrán Global existence and zero relaxation limit for a hyperbolic system arising in traffic flow with large data
Mohammed Nadjib Benamar On the stability of a class of positive fractional 2D Lyapunov systems described by the Roesser model
Lander Basabe Isotropic recovery-based error estimator algorithm for mesh adaptation in a finite volume environment
Siham Boukarabila On a Singular Gradient-Dependent Elliptic System
Hamed Abderrahmane Bouraoui Stability analysis of Porous-Elastic System with Microtemperatures under Dual-Phase-Lag Theory
Satyajith Bommana Boyana Discontinuous Galerkin Methods for Convection-Dominated Problems
Spencer H. Bryngelson Solving Navier–Stokes-like problems with discontinuous features via information geometric regularization
Gülistan Butakın Blow-up in Finite Time of Solutions to Triharmonic Parabolic-Type Equations in Variable Exponent
Süleyman Cengizci A Hybrid Machine Learning Framework for Solving Convection-Dominated Steady-State Transport Problems
Wai Chan Quenching for Reaction-Diffusion Equations
Brian Choi Unique continuation of fractional dispersive equations
Vladan Čížek Propagation Speed for Strongly Nonlinear Parabolic Problems
Melissa Cook Effects of harvesting-mediated emigration on a weak Allee growth model
Carlos Culebro Multiple nodal solutions to a scalar field equation with double-power nonlinearity and zero mass at infinity
Thinh Dang Semi-analytic spectral method for nonlocal Poisson problem with discontinuous data
Briceyda B. Delgado Resonant solutions for elliptic systems with Neumann boundary conditions
Ashutosh Dixit Non variational type critical growth nonlocal system
Prerona Dutta Weak diffeomorphisms for conservation laws
Mohammed El Aïdi On the Riesz-means of Negative Eigenvalues for a Compact Metric Tree
Satyanarayana Engu Large time asymptotics of the solutions to the generalized BBM-B equation
Junyuan Fang Lp theory for a class of parabolic equations with degenerate/singular coefficients
Marcelo V. Flamarion Dynamics of abnormally large ocean waves
Nalin Fonseka Effects of Predation Induced Emigration on a Harvesting Model
Habib Fourti Non existence of solutions for a slightly super-critical elliptic problem with non-power nonlinearity
Akash Kumar Gartia Modeling and Vibration Analysis of Multi-Cracked Functionally Graded Nanobeams
Mohammed Tewfik Ghomari Existence results for a Hardy p-Laplacian equation on compact Riemannian manifolds
Gleb Gribovskii Data-Driven Machine Learning Approaches to Modeling Pertussis Vaccine Scare Behavior
Petr Girg Strongly Nonlinear Model of Groundwater Flow in Porous Medium Layered Over Inclined Impermeable Bed
Senoussi Guesmia Quantitative Convergence Rates in the Asymptotic Analysis of Parameter-Dependent Elliptic Problems
Diksha Gupta Elliptic Problems Involving Mixed Local-Nonlocal Operator in the Hyperbolic Space
Amlan Kanti Halder Newer Observations in Singularity Structures of Differential Equations
Sigifredo Herrón Sub-Supersolution Techniques and Fixed Point Methods for Schrödinger p-Laplacian Problems
Ky Ho Double Phase Problems Involving Sandwich-Type Growth
Elliott Hollifield Numerical coexistence states of a parabolic system with local and nonlocal diffusion
Yi Hu Nonlinear Schrödinger Equation with Stark Effect and Damping
Urvashi Joshi Solitonic and Exact Solutions for a Viscous Traffic Flow Model via Lie Symmetry
Anusree R Kannoth Spike layered solutions for elliptic systems on Riemannian Manifolds
Akanksha Kesarwani Superlinear and Sublinear Dirichlet problems with the ((p(x), q(x)) – Laplacian operator
Lukáš Kotrla Parabolic Logistic Equation and System Involving Fractional Laplacian
Rohit Kumar On fractional p-Laplace semipositone problems
Rupali Kumari Some results on nonlinear elliptic equations with dependence on the gradient
Saroja Lakshmi Mathematical Modelling of Coral Reef Dynamics with Mangroves
Lingju Kong Weak Solutions for Quasilinear Biharmonic Systems
Emer Lopera Positive solutions for a class of quasilinear problems with indefinite potential.
Karthiga M A new Exact form of travelling wave solutions for Fractional order Padé-II Equation
Kithmini Maddegoda Modeling the Impact of Environmental Variability on Plankton Systems
Atanu Manna Existence and multiplicity of non-radial solutions for a semilinear elliptic equation on hyperbolic space
Edgar Alejandro Antonio Martínez Uniform estimates for elliptic equations with Caratheodory nonlinearities at the interior and on the boundary
Nsoki Marvinga An interpolation approach to L∞ a priori estimates for elliptic problems with nonlinearity on the boundary
Jose Morales A stochastic collocation method for the Boltzmann-Poisson system with rough boundaries and uncertainties
Yuhao Mu New Qualitative and Numerical Results for a Nonlinear Fluid-Structure Interaction Model
Vikram Naik Brezis-Nirenberg type problem for fractional sub-Laplacian on the Heisenberg group
Evangelos Nastas Hölder Regularity for Weak Solutions to a Class of Degenerate Elliptic Equations
Subham Nayak Adaptive nonconforming FEM for distributed optimal control problems governed by m-harmonic equations
Suvendu Nayak Operator-Theoretic Foundations of Legendre Wavelet Methods for Hyperbolic PDEs
Šárka Nečasová The primitive equations: rigorous derivation and Onsager conjecture
Nhung Nguyen Fast and stable imaging of objects in 2D acoustic waveguides using scattering data
Phuong Nguyen Solving the inverse scattering problem via Carleman-based contraction mapping
Maria Amarakristi Onyido On the Spatial Spreading Dynamics of Species with Nonlocal Dispersal
Amar Ould-Hammouda Homogenization of a Stokes flow in Porous Media under aNon-homogeneous Slip Boundary Condition
General Ozochiawaeze Strengthened Analysis of Linear Sampling Method for Biharmonic Wave scattering
Ambesh Kumar Pandey Existence of multiple solutions for a class of mixed local and nonlocal variable exponent problem
Prashant K. Pandey Sturm’s theorems and Sturm–Liouville problems in terms of the generalized derivatives
Shashank Pandey Almost Sectorial Operators in Integro-Differential Equations with State-Dependent Delay
Rosa Pardo Elliptic Systems with Superlinear Terms on the Critical Hyperbola
Apeksha Patil Exact Solutions of Oskolkov Equation through Symmetry Analysis and their Integrals of Motion using Conservation Laws
Mohandas Pillai Global dynamics of solitons coupled to radiation for critical wave maps and semilinear wave equations
Leandro Recôva Multiplicity results for non-local operators of elliptic type
Md. Abdus Saad Time-Dependent Diffusion and Soliton Dynamics in (2+1)D Chaffee-Infante Equation
B Sagar Numerical Simulation of Fractional Keller-Segel System Modeling Chemotaxis
Kiran Kumar Saha Existence of Radially symmetric k-convex solutions to k-Hessian equations
Lorena Aguirre Salazar An Ohta-Kawasaki model set on the space
Diana Milena Sánchez Eigenvalue problem involving the (p, q)-Laplacian operator
Arturo Sanjuán The Work of Alfonso Castro on the Semilinear Wave Equation: A Survey
Abhishek Sarkar On (p, N)-Laplace multivalued equations with critical exponential nonlinearity in RN
Tuba Satilmis Initial Time Variations and Lipschitz Stability in Set-Valued Differential Systems
Abdelmouhcene Sengouga Energy Bounds for a Vibrating String with Boundary Damping and Varying Length
Aniruddha Kumar Sharma Shock wave Dynamics via Symmetry-Driven Analysis of A Two-phase Flow with The Chaplygin Pressure Law
Lovelesh Sharma On an eigenvalue problem associated with mixed operators under mixed boundary conditions
Saroj Si Analysis of a size-structured growth-coagulation-fragmentation model
Priya Kumari Singh A collocation method for nonlinear stochastic differential equations driven by fractional Brownian motion and its application to mathematical finance
Anshika Singhal Self-Similar Behavior of Shock Waves in Generalized Chaplygin Gas
Flavia Smarrazzo On Radon measure-valued solutions for a class of evolution equations with measure initial data
Byungjae Son On positive solutions to one-dimensional elliptic boundary value problems with nonlocal boundary conditions
Caterina Sportelli The superposition of operators of mixed fractional order
Surbhi On a Fourth Order System Involving Critical Nonlinearities and Sign-Changing Weight Functions
Anežka Švandová Simulations of Groundwater Flow in Fractured Porous Media
Said Taarabti Three solutions to a Neumann boundary value problem driven by p(x)-biharmonic operator
Pamodya Teshini Thalawage An Optimal Control Approach for Time-Dependent Harvesting Strategies in Delayed Predator-Prey Dynamics
Deeksha Tomer Domain Decomposition Methods for PDEs with Time Delay
Lan-Phuc Tran Phase Shaping of the Nonlinear Schrödinger Equation
Om Tripathi Analysis of Predator-Prey Dynamics with Taxis and Diffusion: Existence, Uniqueness, and Stability
Vinayak Mani Tripathi Multiplicity result for mixed local and nonlocal Kirchhoff problems involving critical growth
Ani Tumanyan Fredholm and Spectral Properties of Regular Hypoelliptic Operators
Axel G. R. Turnquist A Cutoff Method for Computing Optimal Transport to a Target Measure with Unbounded Support
Markjoe O. Uba Asymptotic limits of the principal spectrum point of a Cooperative System with Nonlocal Dispersal
Darío A. Valdebenito Quasiperiodic solutions of some elliptic systems of equations
Akhilesh Verma Finite-Approximate Controllability of Non-Autonomous Neutral Impulsive Evolution Equations with State-Dependent Delay
Amar Pal Verma Quasilinear Degenerate Elliptic Problems with Indefinite Weights and Variable Exponents: Existence of Multiple Weak Solutions
Víctor A. Vicente-Benítez Entire solutions to a quasilinear purely critical competitive system
Khoi Anh Vo Simultaneous reconstruction of birth condition and mortality rate in an age-structured tumor model
Hardagna Vatsal Vora Fractional Modeling of Calcium Interplay in Neuronal Cells: Normal vs. Alzheimer’s Conditions
Mittu Walia Computational Simulation of Non-Newtonian Fluid Dynamics for Pulsatile Hemodynamics
Min Wang An age-structured physics-informed neural network model for COVID-19 hospitalization rate
Taige Wang Multiplicity of Laplacian eigenvalues presented by sum of two squares using number theory
Bo Yang Positive Solutions for a Fourth Order p-Laplacian Boundary Value Problem
Mengxuan Yang Resolvent and wave decay of the multi-pole Aharonov–Bohm Hamiltonian
Abdelbadie Younes Singular Elliptic Systems with Superlinear Gradient Growth
Bo Zhang Global Attractivity in Nonlinear Wave Equations with Unbounded Damping
Li Zhu A New Finite Element Method for Simulating Wave Propagation on Complex Graphene Sheets
All approved abstracts are posted on this page. Click on each title to view a PDF of the abstract.
Undergraduate Abstracts
Emiliano Morales-Lopez Modeling the Transmission Dynamics of the Monkeypox Virus Infection with Intervention Measures
Nyvisalsnuk Rith Stability and Bifurcation Analysis on Fishery Models with Strong Allee Effect and Holling’s Type III Functional Response
Archi Tiwari Integrability of Heston Financial Model
Monishwar Reddy Vardireddy Analysis of the SEIR Model around the Singularities
Caroline Wyrick On the uniqueness of positive solutions for classes of two-point boundary value problems when a parameter is large
Participants during the 3rd UNC Greensboro PDE Conference are invited to submit a manuscript for consideration in a Special Issue of the Electronic Journal of Differential Equations, dedicated to honoring Professor Alfonso Castro.
• Submission Deadline: June 15, 2026
• Submission Instructions: Send your manuscript (in PDF format) to Yi Zhang at y_zhang7@uncg.edu
Main Editor: Yi Zhang
Associate Editors: Maya Chhetri, Richard Fabiano, Tom Lewis, and Ratnasingham Shivaji
All approved participants will have their name and affiliation printed on this page. Please expect at most five business days for your information to be updated here.
Ardra A, IIT Palakkad
Sengouga Abdelmouhcene, University of M’Sila
Habeeb Abdulrahman, Modibbo Adama University, Yola
Ray Abney, UNC Charlotte
Pitambar Acharya, University of Alabama at Birmingham
Prabal Acharya, Department of Mathematics, VNIT Nagpur
Ananta Acharya, Eastern New Mexico University
Amit Kumar Acharya, SRM University Ap, Andhra Pradesh
Dhruba Adhikari, Kennesaw State University
Hugo Aduén, Universidad de Córdoba
Sherin Agnus, Pondicherry University, Puducherry
Oscar Agudelo, University of West Bohemia in Pilsen
Sergio Agudelo Benitez, Universidad Nacional de Colombia sede Manizales
Lorena Aguirre-Salazar, Texas A&M – Corpus Christi
Mohammed Ahrami, Mohammed First University
Ouali Aicha, Department of MathematicsFaculty of Exact and Applied Sciences University
Mohamed Al Lawati, Sultan Qaboos University
Ala’ Alalabi, North Carolina State University
Eman Aldabbas, The University of Jordan
Diana Aldiarbek, Nazarbayev University
Mohsen Alimohammady, University of Mazandaran
Rasha Almughrabi, New River Community and Technical College
Fatimah Alsaad, University of Hafr Al-Batin
Johnathan Andres, University of Houston
Mohmmadameerraja Ansari, IIT Palakkad
Edgar Alejandro Antonio Martines, Universidad Complutense de Madrid
Rakesh Arora, Indian Institute of Technology (Varanasi)
Anupma Arora, Birla Institute of Technology and Science, Pilani
Ashok Aryal, Minnesota State University Moorhead
Mehsin Atteya, Mustansiriyah University
Gerard Awanou, University of Illinois at Chicago
Salima Azouz, University of Tamanghas
Manika Bag, Indian Institute of Science Education and Research, Thiruvananthapuram
Loren Baker, University of Central Missour
Shalmali Bandyopadhyay, UT Martin
Peter Bates, Michigan State University
Louiza Baymout, University of Sciences and Technology Houari Boumedienne
José David Beltrán Lizarazo, The University of Iowa
Jiří Benedikt, University of West Bohemia
Lander Besabe, Clemson University
Akshita Bhardwaj, Indian Institute of Technology Roorkee
Vladimir Bobkov, Institute of Mathematics UFRC RAS
Satyajith Bommana Boyana, Florida Polytechnic Univeristy
Sonu Bose, IIST, Thiruvananthapuram
Siham Boukarabila, university of Tlemcen
Spencer Bryngelson, Georgia Tech
Gülistan Butakin, Dicle University Institute of Natural and Applied Sciences
Matheus Campos, Universidade Federal Fluminense (UFF)
Fei Cao, Amherst College
Alfonso Castro, Harvey Mudd College
Diego Alexander Castro Guevara, Universidad Tecnológica de Pereira
Süleyman Cengizci, Antalya Bilim University
Wai Chan, Texas A&M University – Texarkana
Ravindra Chauhan, BITS Pilani, Pilani Campus, Rajasthan
Maya Chhetri, University of North Carolina at Greensboro
Manki Cho, University of Houston at Clear Lake
Brian Choi, University of Tennessee at Chattanooga
Vladan Čížek, University of West Bohemia
Gabino Corona Patricio, Universidad Michoacana de San Nicolás de Hidalgo
Jorge Cossio, National University of Colombia
Mabel Cuesta, Université du Littoral Côte d’Opale
Carlos Culebro, UNAM Mathematics Institute
Thinh Dang, Kansas State University
Monti Das, IIT Guwahati
Ujjal Das, BCAM-Basque Center for Applied Mathematics
Christopher Davis, Tennessee Tech
Briceyda Delgado, INFOTEC
Ashutosh Dixit, Indian Institute of Technology Jodhpur
Pavel Drábek, University of West Bohemia
Xiaochen Duan, University of Florida
Shweta Dubey, NIT Rourkela
Dipak Dulal, Eastern New Mexico University
Prerona Dutta, Xavier University of Louisiana
Gaurav Dwivedi, BITS Pilani, Pilani Campus
Mohammed El Aïdi, Universidad Nacional de Colombia
Zakaria El Allali, Mohammed First University, Oujda
Mohammad El-Hindi, Hasselt University
Ilias ELmouki, École Hassania des Travaux Publics – MoNum
Satyanarayana Engu, National Institute of Technology Warangal
Rich Fabiano, University of North Carolina at Greensboro
Claudia Falcon, Wake Forest University
Junyuan Fang, University of Tennessee, Knoxville
Matthew Farmer, Anderson University (SC)
Lisa Fauci, Tulane University
Nalin Fonseka, University of Central Missouri
Habib Fourti, King Faisal University
Rafael Galeano, Universidad de Cartagena
Ramanath Garai, Research Scholar
Deepika Garg, Indian Institute of technology (IIT JAMMU)
Akash Kumar Gartia, National Institute of Technology Rourkela
Mohammed Tewfik Ghomari, National Higher School of Mathematics of Sidi abdellah
Mrityunjoy Ghosh, TIFR Centre for Applicable Mathematics
Christian Gilde, University of Montana
Petr Girg, University of West Bohemia
Melissa Glass, University of North Carolina Greensboro
Moisés Granados, Bowie State University
Gleb Gribovskii, University of North Carolina Greensboro
Jean-Luc Guermond, Taxes A&M
Senoussi Guesmia, SMPT. University of The Bahamas
Aarón Guillén, Universidad Autónoma de Aguascalientes
Daniel Guo, UNC Wilmington
Diksha Gupta, Indian Institute of Technology Delhi
Shilpa Gupta, IIT Kanpur
Garima Gupta, Indian Institute of Technology Roorkee
Reema Gupta, National Institute of Technology Rourkela
Dennis Guzmán, Applied mathematics
Amlan Kanti Halder, Woxsen University, Hyderabad, India
Keta Henderson, Elon University, NC
Sigifredo Herrón, Universidad Nacional de Colombia Sede Medellín
Ky Ho, University of Economics Ho Chi Minh City
Elliott Hollifield, UNC Pembroke
Yi Hu, Georgia Southern University
Russ Islam, University of Tokyo
Mehsin Jabel Atteya, Mustansiriyah University
Jon Jacobsen, Harvey Mudd College
Anjali Jaiswal, Jananayak Chandrashekhar University (Ballia)
Puspendu Jana, Indian Institute of Technology Guwahati
Ritabrata Jana, IISER Thiruvananthapuram
Jiya Rose Johnson, Indian Institute of Technology Madras
Anumol Joseph, SRM University-AP, Andhra Pradesh
Urvashi Joshi, IIT Roorkee
Lakshmi Sankar Kalappattil, Indian Institute of Technology Palakkad
Akanksha Kesarwani, NIT Rourkela
Mariam Khachatryan, Augustana University
Luu Khoa, University of science, ho chi minh city, viet nam
Lingju Kong, University of Tennessee at Chattanooga
Malindu Kooragoda, University of Peradeniya
Lukas Kotrla, University of West Bohemia in Pilsen
Deepak Kumar, Indian Institute of Technology Roorkee
Rohit Kumar, TIFR Centre for Applicable Mathematics
Prashant Kumar Pandey, VIT Bhopal University
Rupali Kumari, National Institute of Technology Rourkela
Alexandra Kurepa, North Carolina A&T State University
Saroja Lakshmi, Wayamba University of Sri Lanka
Dhaou Lassoued, Faculty of Sciences of Gabès, Tunisia
Thuy Le, North Carolina State University
Jesus Leon Tordecilla, Universidad del Sinú
Randy LeVeque, University of Washington
Tom Lewis, University of North Carolina at Greensboro
Yukun Li, University of Central Florida
Sijing Liu, Worcester Polytechnic Institute
Emer Lopera, Universidad Nacional de Colombia
Khoa Luu, University of Science, Ho Chi Minh City (Vietnam)
Devakar M., Visvesvaraya National Institute of Technology Nagpur
Jorge Sigfrido Macias Medina, Universidad Autónoma de Aguascalientes
Indulekha Madathil Sasi, Carnegie Mellon University
Kithmini Maddegoda, University of Kelaniya
Gaëlle Mailly, Université du Littoral Côte d’Opale
Mohan Mallick, Department of Mathematics, VNIT Nagpur
Atanu Manna, IIT Hyderabad
Muragesh Math, S.Nijalingappa Medical College (Centre,Bagalkot)
Nsoki Mavinga, Swarthmore College
Jean Mawhin, Catholic University of Louvain
Juan Daniel Meshir, University of Guadalajara
Emiliano Morales-Lopez, Swarthmore College
Karthiga Mourougavelou, Pondicherry University
Yuhao Mu, University of Nebraska – Lincoln
Arka Mukherjee, Indian Institute of Technology Guwahati
Tuhina Mukherjee, IIT Jodhpur
Vikram Naik, BITS Pilani, Rajasthan
Kaique Nascimento, Universidade Federal Fluminense (UFF)
Subham Nayak, IISER Thiruvananthapuram
Suvendu Nayak, KIIT University Bhubaneswar, India
Sarka Necasova, Institute of Mathematics, Czech Academy of Scinces
Nhung Nguyen, Kansas State University
Phuong Nguyen, UNC Charlotte
Thuc Nguyen, Florida State University
Dustin Nichols, High Point University
Alannio Nóbrega, Federal University of Campina Grande
Yasmin Oliveira, Universidade Federal Fluminense
Maria Amarakristi Onyido, Northern Illinois University
Amar Ould-Hammouda, National School of Nanoscience and Nanotechnology, Algiers
Amar Ould-Hammouda Amar, National School of Nanoscience and Nanotechnology, Sidi Abdallah, Algiers
General Ozochiawaeze, Purdue University
Subha Pal, IIT Palakkad
Ambesh Kumar Pandey, NIT Rourkela
Shashank Pandey, IIT ROORKEE
Rosa Pardo, Universidad Complutense de Madrid
Enea Parini, Aix-Marseille Université
Apeksha Patil, Pondicherry University
Jesse Paul, The University of North Carolina Greensboro
Mahendranath Perisetti, Institute of Mathematics, CAS
Truong Hoang Nhan Pham, University of Verona (Italy)
Chi Phan, Sam Houston State University
Mohandas Pillai, University of Tennessee Chattanooga
Brock Price, USC Salkehatchie
Anusree R, Indian Institute of Technology Hyderabad
Karan Rathore, Visvesvaraya National Institute of Technology, Nagpur
Leandro Recova, California State Polytechnic University Pomona
Nyvisalsnuk Rith, Swarthmore College
Steve Robinson, Wake Forest University
Subhajit Roy, Indian Institute of Technology Madras
Jan Rudzko, Institute of Mathematics of the National Academy of Sciences (Belarus)
Bernhard Ruf, University of Milan
Md. Abdus Saad, Hajee Mohammad Danesh Science & Technology University, Dinajpur
B Sagar, University of Central Florida
Kiran Kumar SahaB Indian Institute of Technology Guwahati
Vivek Saha, Indian Institute of Technology (IIT) Kanpur
Iswari Sahu, National Institute of Technology Rourkela
Baghdad Said, University of Saida
Alberto Saldaña, Universidad Nacional Autónoma De México
Diana Milena Sánchez Monsalve, Universidad Nacional de Colombia, Manizales
Arturo Sanjuán, Universidad Distrital Francisco José de Caldas
Santosh Ballav Sapkota, Miami University
Abhishek Sarkar, Indian Institute of Technology Jodhpur
Sarath Sasi, IIT Palakkad
Tuba Satilmis, Gebze Teknical University
Sanchita Satpathy, Indian Institute of Technology (IIT), Jodhpur
Ridgway Scott, University of Chicago
Deepthika Senaratne, Fayetteville State University
Sandamalee Seneviratne, The Open University of Sri Lanka
Rajeswari Seshadri, Pondicherry University, India
Ryan Severance, North Carolina School of Science an Mathematics
Jaffar Ali Shahul Hameed, Florida Gulf Coast University
Lovelesh Sharma, Indian Institute of Technology Jodhpur
Ramjee Sharma, University of North Georgia
Prathviraj Sharma, University College Of Engineering Tindivanam Anna University Chennai Tamilnadu
Aniruddha Kumar Sharma, Indian Institute of Technology Roorkee
Ratnasingham Shivaji, University of North Carolina at Greensboro
Pray Kumari Singh, University of Petroleum and Energy Studies
Sachin Singh, University of Delhi
Vishva Vivek Singh, Bhimrao Ambedkar University Agra
Anshika Singhal, Indian Institute of Technology Roorkee, India
Flavia Smarrazzo, Univesrity Campus Bio-Medico di Roma
Byungjae Son, Ohio Northern University
Ablanvi Songo, Université de Sherbrooke
Caterina Sportelli, The University of Western Australia
Thaicia Stona de Almeida, University at Buffalo
Surbhi, Bennett University
Anežka Švandová, University of West Bohemia in Pilsen
Mohyeedden Sweidan, Concord University
Said Tarrabti, Ensa Agar Ibn Bohr University
Pamodya Teshini Thalawage, University of Kelaniya
Kim Thapa Magar, St.Xavier’s College
Xiaochuan Tian, UC San Diego
Sweta Tiwari, Indian Institute of Technology Guwahati
Archi Tiwari, School of Sciences, Woxsen University, Hyderabad, India
Deeksha Tomer, IIT Bhubaneswar
Lan Phuc Tran, Wake Forest University
Vinayak Mani Tripathi, IIT Jodhpur
Om Tripathi, Indian Institute of Technology Roorkee
Son Tu, Baylor University
Ani Tumanyan, Russian-Armenian University
Axel Turnquist, BIMSA
Dario Valdebenito, Ave Maria University
Cong Van, University of North Carolina at Charlotte
Carlos Velez, Universidad Nacional de Colombia
Marcelo Velloso Flamarion Vasconcellos, Pontifical Catholic University of Peru
Akhilesh Verma, Indian Institute of Technology Roorkee
Amar Pal Verma, National institute of Technology Rourkela
Ram Baran Verma, SRM University AP
Anh Khoi Vo, Department of Mathematics in University of Houston
Madhav Wagley, Florida A&M University
Mitty Walia, Indian Institute of Technology Roorkee
Min Wang, Kennesaw State University
Dinithika Wanigasooriya, University of Peradeniya
Caroline Wyrick, UNC Greensboro
Xiaohuan Xue, Jacksonville State University
Neelam Yadav, National Institute of Technology, Warangal
Bo Yang, Kennesaw State University
Mengxuan Yang, Princeton University
Abdelbadie Younes, The National School of Artificial Intelligence – Algiers
Bo Zhang, Fayetteville State University
Yi Zhang, University of North Carolina at Greensboro
Zhenbu Zhang, Jackson State University
Li Zhu, University of Minnesota Duluth
Abstracts submission Window Is now open
All presenters must register for the conference. Remember to register early as space is limited.
Abstract File Instructions
An abstract is a one-paragraph summary of your research project. It should provide a concise overview of the context and scope of your work. Please follow this check-list when submitting the abstract for your presentation as part of your conference registration:
- The language should be understandable by a non-specialist.
- In your presentation title, avoid, if possible, any mathematical symbols; if you must use them then include the corresponding LaTeX code. Never include LaTeX code with user-defined commands because such a piece of code cannot be compiled outside your source file.
- If you are an undergraduate, for your abstract to be considered you will need to provide contact information of your faculty research mentor in the submission form. Furthermore, please ask your faculty research mentor to email Yi Zhang endorsing the submitted abstract at y_zhang7@uncg.edu.
Submission Instructions
There will two categories of abstracts; general and undergraduate. Each will have a different submission link and set of instructions. Be sure to read instructions carefully before you begin a submission form.
For your abstract to be considered, you will need to have first registered for the UNCG PDE 2025 Conference. Once your name appears on the Registration Page, you may submit an abstract using the same contact information as you did for your registration form.
Each presenter may only submit one abstract.
Once submitted, an abstract can only be updated by contacting Yi Zhang at y_zhang7@uncg.edu.
Click here to download the template .tex file.
Click here to view a sample abstract PDF.
You can expect to hear back from Yi Zhang. Please allow at least two weeks for review.
General Abstract Submission Instructions
- You will need to upload both the .tex file and compiled PDF file of your abstract according to the posted template above. In your abstract, do not use any custom commands, additional packages, macros, etc.
- Name your file with your last name followed by your first initials; e.g., Matthew Farmer would name his files as “Farmer_M.tex”
- Presentation titles should have no mathematical symbols and/or notation. Greek letters, however, are acceptable.
General Submission Link
Undergraduate Abstract Submission Instructions
- To be considered, you must have approval from a faculty research mentor. You will need to provide contact information of your research mentor in the submission form. Please ask your research mentor to email Yi Zhang endorsing the submitted abstract at y_zhang7@uncg.edu.
- Name your file with your last name followed by your first initials; e.g., Matthew Farmer would name his files as “Farmer_M.tex”
- You will need to upload both the .tex file and compiled PDF file of your abstract according to the posted template above. In your abstract, do not use any custom commands, additional packages, macros, etc.
- Presentation titles should have no mathematical symbols and/or notation. Greek letters, however, are acceptable.
Undergraduate Submission Link
Conference Summary
The conference program featured nine plenary lectures delivered by stellar researchers from around the world, including members of the National Academy of Sciences and Fellows of the American Mathematical Society, the Society for Industrial and Applied Mathematics, the American Physical Society, the American Association for the Advancement of Science, the Association for Women in Mathematics, the Learned Society of the Czech Republic, and the Royal Academy of Belgium. Among our distinguished plenary speakers were recipients of numerous prestigious awards, including the National Mathematics Prize from the Colombian Mathematical Society; the Bernard Bolzano Honorary Medal “For Merits in the Mathematical Sciences” (2013) awarded by the Academy of Sciences of the Czech Republic; the Empain (1973), von Humboldt (1990), Pythagoras (2014), Aulbach (2015), and Bruckner (2022) Prizes; and the Bolzano (2002) and Schauder Medals (2013).

We were pleased to welcome 286 registered participants from 35 countries, including approximately 160 graduate students and early-career researchers. The scientific program included 136 contributed talks including an undergraduate presentation session, covering a wide range of topics from theoretical to computational aspects of differential equations.
The conference began with welcome remarks from Professors Alan Boyette (Provost), Sherine Obare (Vice Chancellor for Research and Engagement), and Scott Richter (Head of Mathematics and Statistics). The opening ceremony also featured a UNCG History Video and music composed and performed by Ms. Ally Harvel (School of Music) and music performed by Professor Scott Richter.
This conference was dedicated to Professor Alfonso Castro in celebration of his 75th birthday and his outstanding contributions to the field of differential equations. Professor Castro is the McAlister Professor of Mathematics at Harvey Mudd College in California.
On the second day of the conference, a special musical tribute titled “Para el Maestro Alfonso” was performed by artists from Colombia in his honor.
Speakers at the conference were invited to submit manuscripts for consideration in a Special Issue of the Electronic Journal of Differential Equations, dedicated to honoring Professor Castro.
This event was made possible thanks to the support of the Division of Research and Engagement, the College of Arts and Sciences, the Department of Mathematics and Statistics, and the Helen Barton Excellence Professorship funds.

Select Participant Feedback
- It is a great conference. Thanks for hard work.
- Many thanks to the organizers
- Conference is well organised and lectures was very good and also beneficial for upcoming research.
- The 2025 UNC Greensboro PDE Conference was an excellent forum for sharing recent advances in partial differential equations and related fields. The programme demonstrated both breadth and depth, with well-curated talks that encouraged cross-disciplinary discussion (physical and online presentations). The organization was smooth, and the hospitality extended to participants was much appreciated. Overall, it was a highly valuable and well-executed event.
- I hope this conference will be every year
- Best continuation
- It was a wonderful experience presenting my work at the UNCG PDE Conference 2025. I sincerely thank the organizers for providing such an engaging and well-organized platform for researchers.
- All the lectures and contributed talks were excellent. A very useful conference on PDEs.
- Thank you very much. Great conference, congratulations.
- Conference was very well organized, highly insightful and offering valuable discussions and learnings. 😊😊
- All the conferences have been a success, congratulations!

Sponsored by Division of Research and Engagement, College of Arts and Sciences, Department of Mathematics and Statistics and Helen Barton Excellence Professorship Funds
Organizers
Program Chair: Yi Zhang
Organizing Committee: Maya Chhetri, Rich Fabiano, Matthew Farmer, Tom Lewis (Chair), Ratnasingham Shivaji, Yi Zhang
Contact: Ratnasingham Shivaji – R_SHIVAJ@uncg.edu








